斯法克斯大学: 用于PLLA的生物基成核剂——对结晶、流变和机械性能的影响
斯法克斯大学: 用于PLLA的生物基成核剂——对结晶、流变和机械性能的影响
gh_d0a371a1bb96
传播生物基领域最新资讯,带您进入生物基时代!
以下文章来源于生物基科研前瞻 ,作者Lee
生物基领域科学前沿信息
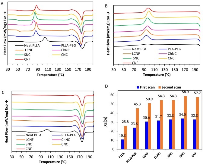
过去的几十年中,市场对聚乳酸 (PLLA) 的需求稳步增长,人们对其在包装行业作为PP和PET的替代品表现出浓厚的兴趣。PLLA 的可组合性及其在特定条件下的生物降解性,促使其在耐用结构材料和纺织品中具有潜在应用。然而,尽管PLLA是可结晶的,但通过传统的熔融加工路线制备的 PLLA产品几乎是完全无定形的,导致较低的耐热性(热变形温度 HTD < 55 °C)与低的阻隔性,限制了其潜在的工业应用需要耐热的地方。因此,提高结晶性能的研究对于扩大PLLA的应用至关重要。
近日, 斯法克斯大学的Sami Boufi等人 使用少量聚(乙二醇)(PEG)作为载体,通过单次熔融加工制备含有不 同 生物基纳米粒子 (含有和不含木质素的纤维素纳米纤维 (LCNFs 和 CNFs) 以及纤维素、甲壳素和淀粉纳米晶体(CNCs、ChNCs 和 SNCs))的 PLLA 薄膜(PLLA-PEG-NPs), 以避免纳米粒子的聚集。研究了具有不同形态和表面性质的生物基纳米粒子作为成核剂的能力,并研究包含少量纳米粒子(1 wt%)对PLLA结晶行为、熔体流变学和力学性能的影响。
相关工作以“Biobased nucleation agents for poly-L-(lactic acid) — Effect on crystallization, rheological and mechanical properties”为发表在《International Journal of Biological Macromolecules》上。
免责声明:资料来源于网络,转载的目的在于传递更多信息与分享,并不意味着赞同其观点或证实其真实性。仅提供交流平台,不为其版权负责,如涉及侵权,请联系我们及时修改或删除。
投稿邮箱:
合作、交流、咨询、转载请添加微信:Bio_based
-
2023年血糖新标准公布,不是3.9-6.1,快来看看你的血糖正常吗? 2023-02-07
-
2023年各省最新电价一览!8省中午执行谷段电价! 2023-01-03
-
GB 55009-2021《燃气工程项目规范》(含条文说明),2022年1月1日起实施 2021-11-07
-
PPT导出高分辨率图片的四种方法 2022-09-22
-
2023年最新!国家电网27家省级电力公司负责人大盘点 2023-03-14
-
全国消防救援总队主官及简历(2023.2) 2023-02-10
-
盘点 l 中国石油大庆油田现任领导班子 2023-02-28
-
我们的前辈!历届全国工程勘察设计大师完整名单! 2022-11-18
-
关于某送变电公司“4·22”人身死亡事故的快报 2022-04-26
